Në magazinë 2/3QGD Pompë zhytëse për puset e thella është gati për dorëzim të menjëhershëm, duke ofruar akses të shpejtë dhe të përshtatshëm në zgjidhjet e pompimit me cilësi të lartë. Identifikues* 2 kg*2: Diametri i gropës: 52 mm (2")* QG: Emri i pompës*D: Motori njëfazor (trefazor pa D)* 1: Kapaciteti (m³/h)* 60: presioni i ujit (m)* 0,25: Fuqia e motorit (KW)
1. Për furnizimin me ujë nga puset ose rezervuarët.
2. Për përdorim shtëpiak, civil dhe industrial.
3. Për përdorim në kopsht dhe ujitje.
1. Temperatura maksimale e lëngut mund të arrijë + 35°C.
2 Përmbajtja maksimale e rërës: 0,25%.
3 Thellësia maksimale e zhytjes: 100 m.
4. Diametri minimal i pusit: 2".
1. Pajisur me kutinë e kontrollit të nisjes ose kutinë e kontrollit automatik dixhital
2. Standardet e madhësisë NEMA
3. Dizajni i pompës bazuar në stresin e shtresës së jashtme
4. Motor elektrik me dredha-dredha të shumta ose ekran plotësisht të mbyllur
5. Njëfazore: 220V - 240V / 50Hz
6. Trefazor: 380V - 415V / 50Hz
1. Grumbullim i posaçëm mekanik
2. Tensione ose frekuenca të tjera 60Hz
| Shkalla e parashutistit | |||||
| Model | A | B | C | D | E |
| 2QGD1-60-0,25 | 688 | 520 | 168 | 0,5" | f50 |
| 3QGD1,5-60-0,25 | 540 | 365 | 195 | 1" | f73 |
| 3QGD1.7-80-0.37 | 580 | 385 | 195 | 1" | f73 |
| 3QGD1.7-105-0.55 | 610 | 415 | 195 | 1" | f73 |
| 3QGD2-115-0,75 | 652 | 445 | 207 | 1" | f73 |
| Model | P2 |
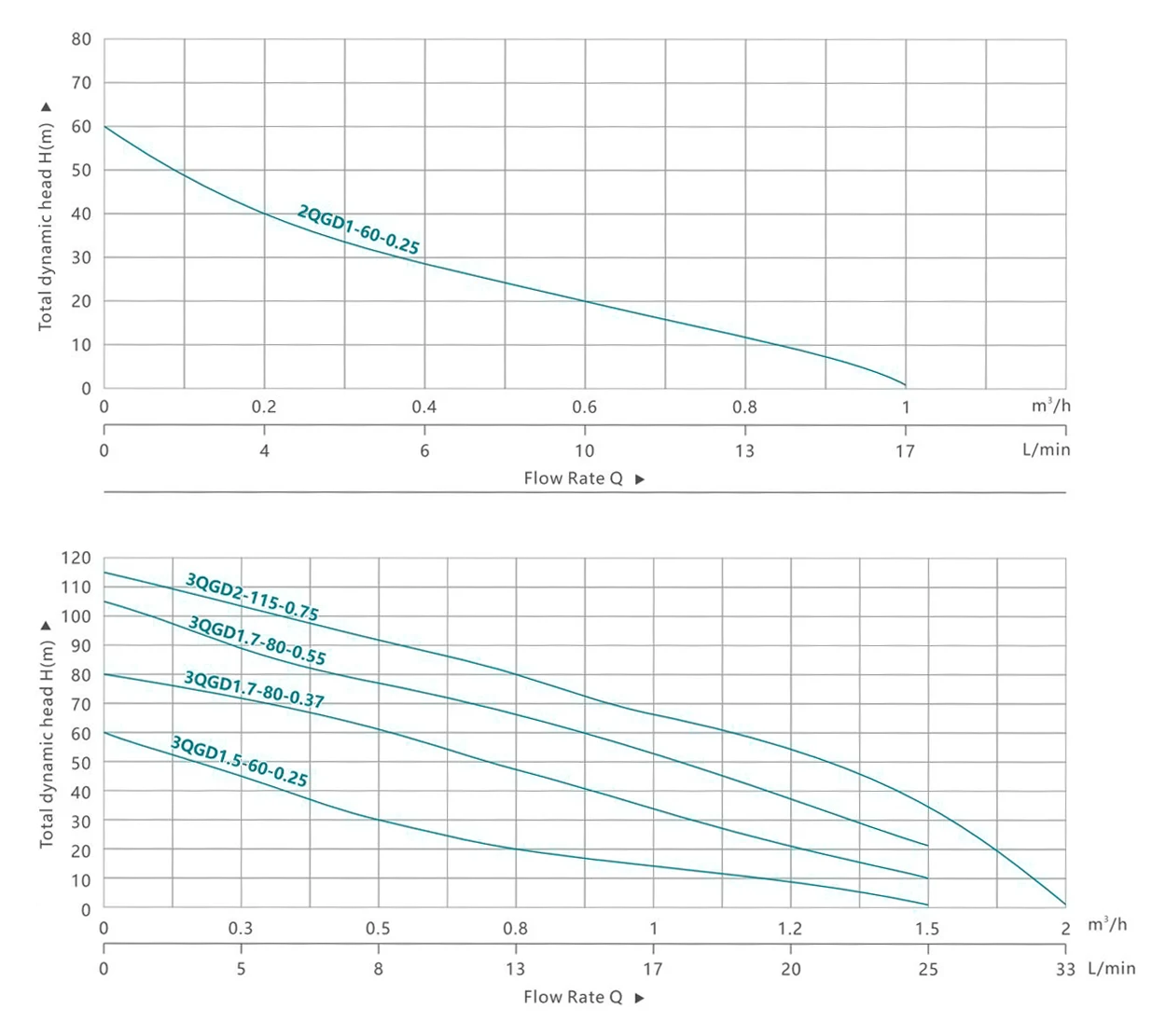
Q L/min m³/h |
0 | 4 | 6 | 10 | 13 | 17 | |||||||
| 1~220v/240v | KW | HP | |||||||||||||
| 0 | 0.2 | 0.4 | 0.6 | 0.8 | 1 | ||||||||||
| 2QGD1-60-0,25 | 0.25 | 0.33 | H(m) | 60 | 40 | 29 | 20 | 12 | 1 | ||||||
| Model | P2 |
Q L/min m³/h |
0 | 5 | 8 | 13 | 17 | 20 | 25 | 33 | |||||
| 1~220v/240v | KW | HP | |||||||||||||
| 0 | 0.3 | 0.5 | 0.8 | 1 | 1.2 | 1.5 | 2 | ||||||||
| 3QGD1,5-60-0,25 | 0.25 | 0.33 | H(m) | 60 | 45 | 30 | 20 | 12 | 9 | 1 | |||||
| 3QGD1.7-80-0.37 | 0.37 | 0.5 | 80 | 72 | 61 | 47 | 34 | 21 | 10 | ||||||
| 3QGD1.7-105-0.55 | 0.55 | 0.75 | 105 | 90 | 78 | 64 | 52 | 38 | 21 | ||||||
| 3QGD2-115-0,75 | 0.75 | 1.0 | 115 | 103 | 92 | 80 | 67 | 53 | 36 | 1 | |||||
| Numrat | Emri |
| 1 | Pranvera shtrënguese |
| 2 | Kapaku i fundit |
| 3 | mëngë zgjerimi |
| 4 | Kapaciteti |
| 5 | Duke |
| 6 | Marrëdhënia |
| 7 | rotor motorik |
| 8 | Vula mekanike |
| 9 | statori i motorit elektrik |
| 10 | Teli elektrik |
| 11 | Vidhos |
| 12 | Makinë larëse |
| 13 | Unaza mbyllëse në formë "O". |
| 14 | Dhoma e karburantit |
| 15 | Unaza mbyllëse në formë "O". |
| 16 | Vidhos |
| 17 | Bulon me dy kokë |
| 18 | Makinë larëse |
| 19 | Arra |
| 20 | Unaza e fiksimit |
| 21 | Makinë larëse |
| 22 | Kapak rëre |
| 23 | Tufa mbrojtëse e kabllove |
| 24 | Vidhos |
| 25 | Krahu |
| 26 | Strehimi i pompës |
| 27 | Myfta Cardannaya |
| 28 | Vidhos |
| 29 | Mbulesë |
| 30 | Statori gome |
| 31 | Unazë |
| 32 | Dhoma e daljes |
| 33 | Shul |
1. Çelësat e rrymës
2. Kontrolli automatik i kasetave
3. Tubacioni
4. Valvula
5. Rondelë
6. Niveli statik
7. Shtylla e sipërme
8. Kabllo
9. Epo
10. Niveli i trazimit
11. Shufra e mesme
12. Strehimi i pompës
13. Shtylla e poshtme
14. Motorët elektrikë nënujorë
| madhësia | Tensioni (v) | Fuqia (kw) | Seksion kryq kabllor (mm²) | 0.7 mm² | 1 mm² | 1.5 mm² | 2 mm² | 2.5 mm² | 3 mm² | 4 mm² | 6 mm² | 10 mm² | 16 mm² | 25 mm² | 35 mm² | 50 mm² |
| 4" | 220 | 0.37 | Gjatësia e kabllit (m) | 50 | 80 | 100 | ||||||||||
| 0.55 | 35 | 55 | 80 | 105 | 130 | |||||||||||
| 0.75 | 20 | 35 | 55 | 75 | 90 | 110 | 150 | |||||||||
| 0.95 | 32 | 52 | 70 | 85 | 105 | 140 | ||||||||||
| 1.1 | 30 | 48 | 60 | 79 | 100 | 127 | 190 | |||||||||
| 1.5 | 25 | 34 | 50 | 57 | 80 | 92 | 137 | 228 | ||||||||
| 1.8 | 23 | 32 | 48 | 55 | 78 | 90 | 135 | 226 | ||||||||
| 2.2 | 22 | 30 | 43 | 50 | 68 | 102 | 170 | 230 | ||||||||
| 3.0 | 25 | 30 | 45 | 60 | 80 | 120 | 200 | 330 | ||||||||
| 3.5 | 25 | 30 | 45 | 60 | 100 | 180 | 290 | |||||||||
| 4.0 | 25 | 35 | 55 | 90 | 150 | 220 | 300 |
| madhësia | Tensioni (v) | Fuqia (kw) | Seksion kryq kabllor (mm²) | 0.7 mm² | 1 mm² | 1.5 mm² | 2 mm² | 2.5 mm² | 3 mm² | 4 mm² | 6 mm² | 10 mm² | 16 mm² | 25 mm² | 35 mm² | 50 mm² |
| 4" | 380 | 0.37 | Gjatësia e kabllit (m) | 200 | 315 | |||||||||||
| 0.55 | 100 | 210 | 320 | |||||||||||||
| 0.75 | 80 | 165 | 280 | |||||||||||||
| 1.1 | 120 | 180 | 250 | 308 | ||||||||||||
| 1.5 | 90 | 150 | 200 | 250 | 300 | 400 | ||||||||||
| 2.2 | 65 | 114 | 150 | 191 | 250 | 305 | 457 | |||||||||
| 6" | 3.0 | 77 | 100 | 128 | 170 | 205 | 307 | 390 | ||||||||
| 4.0 | 61 | 80 | 102 | 120 | 153 | 244 | 406 | |||||||||
| 5.5 | 47 | 60 | 70 | 90 | 110 | 165 | 312 | |||||||||
| 7.5 | 65 | 80 | 130 | 200 | 320 | |||||||||||
| 9.2 | 72 | 108 | 178 | 282 | 432 | |||||||||||
| 11 | 63 | 94 | 155 | 246 | 370 | |||||||||||
| 13 | 78 | 129 | 205 | 314 | ||||||||||||
| 15 | 69 | 114 | 180 | 277 | ||||||||||||
| 18.5 | 55 | 91 | 145 | 222 | 305 | |||||||||||
| 22 | 49 | 81 | 128 | 196 | 290 | |||||||||||
| 25 | 68 | 107 | 165 | 226 | 314 | |||||||||||
| 30 | 60 | 95 | 145 | 200 | 275 | |||||||||||
| 37 | 52 | 82 | 125 | 170 | 234 | |||||||||||
| 45.0 | 45 | 71 | 108 | 147 | 203 |