Instalimi dhe përdorimiInstalimi i përgjithshëm i pompave diellore përbëhet kryesisht nga panele diellore, kuti kontrolli dhe pompa. Pompat e sipërfaqes me diell përdoren për të rritur presionin e ujit. Pompa me vidë SQGD DC me cilësi të lartë 3/4 "SQGD DC ju lejon të shpërndani ujë në një gamë më të lartë dhe të gjerë. Në rajonet diellore të botës, veçanërisht në zonat e largëta ku nuk ka energji elektrike, përdorimi i energjisë diellore është metoda më tërheqëse e furnizimit me ujë. Përveç pompave të ujit dhe energjisë së rinovueshme, pompat diellore përfshijnë gjithashtu të gjitha pajisjet e nevojshme komunikuese dhe aux, pajisjet e komunikimit dhe aux. pajisje ndihmëse Sistemi i ofruar si një sistem i plotë mund të kombinohet dhe përshtatet për çdo nevojë në përputhje me kushtet e instalimit dhe një gamë të gjerë të performancës.




Pompa me vidë SQGD DC me cilësi të lartë 3/4 "SQGD DC është një burim energjie baterie me presion të ulët. Është i sigurt dhe i lehtë për t'u përdorur. Ky është një mjet shumë i përshtatshëm për marrjen e ujit.
Përdoret gjerësisht në bujqësi për ujitje, furnizim me ujë të pijshëm dhe shtëpiak.
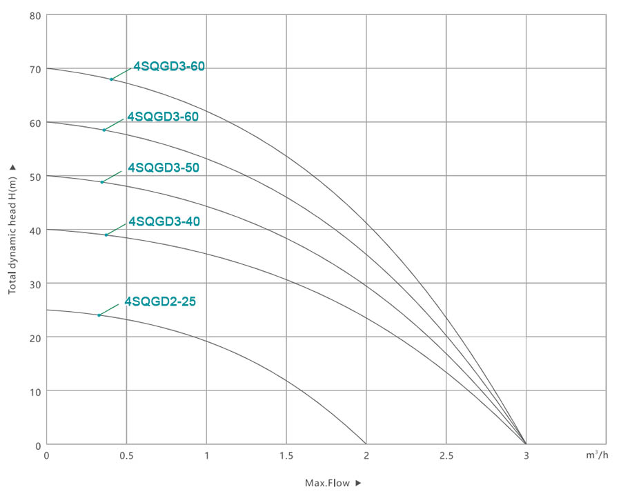
| Model | Tensioni (V) |
Tensioni më i mirë DC (V) |
Fuqia (W) |
Maks. Rrjedha (m³/h) |
Maks. Përpjekje (m) |
Dilni (inç) |
Cigilioz (m) |
Paneli diellor | |
| Stresi i hapur | Fuqia | ||||||||
| 3sqgd5-35-400 | 48/60 | 48/60 | 400 | 5 | 35 | 1" | 2 | <65 V | ≥600W |
| 3sqgd5-42-600 | 48/60 | 48/60 | 600 | 5 | 42 | 1" | 2 | <65 V | ≥900W |
| 3sqgd1,5-70-300 | 24 | 24 | 300 | 1.5 | 70 | 1" | 2 | <30 V | ≥450 W |
| 3sqgd1,5-70-300 | 28 | 28 | 300 | 1.5 | 70 | 1" | 2 | <30 V | ≥450 W |
| 4SQGD2-25-12-200 | 12 | 12 | 200 | 2 | 25 | 1" | 2 | <15 V | ≥280 W |
| 4sqgd3-50-24-400 | 24 | 24 | 400 | 3 | 50 | 1" | 2 | <30 V | ≥560 W |
| 4Sqgd3-40-36-300 | 36 | 36 | 300 | 3 | 40 | 1" | 2 | <42 V | ≥420 W |
| 4sqgd3-60-48-400 | 48 | 48 | 400 | 3 | 60 | 1" | 2 | <55 V | ≥560 W |
| 4Sqgd3-70-72-600 | 72 | 72 | 600 | 3 | 70 | 1" | 2 | <85 V | ≥850W |




|
Modeli: Lloji i AC DC Fuqia adaptive: 750 - 2200 watts Modeli: Lloji Fuqia adaptive: ≤2200W
1. Mbrojtje ndaj tensionit të ulët dhe mbitensionit. 2. Mbrojtje nga mbingarkesa dhe mbitensioni. 3. Mbrojtja kundër pompave të thata. 4. Mbrojtje nga temperatura e lartë. 5. Mungesa e mbrojtjes fazore. 6. Tre grupe çelsash të nivelit të ujit. 7. LCD - monitorë. |
![]() |
Modeli: Lloji D Fuqia adaptive: ≤1100W
1. Mbrojtje ndaj tensionit të ulët dhe mbitensionit. 2. Mbrojtje nga mbingarkesa dhe mbitensioni. 3. Mbrojtja kundër pompave të thata. 4. Mbrojtje nga temperatura e lartë. 5. Mungesa e mbrojtjes fazore. 6. Tre grupe çelsash të nivelit të ujit. 7. LCD - Monitor |
![]() |
Modeli: Lloji B Fuqia adaptive: ≤1500W
1. Mbrojtje ndaj tensionit të ulët dhe mbitensionit. 2. Mbrojtje nga mbingarkesa dhe mbitensioni. 3. Mbrojtja kundër pompave të thata. 4. Mbrojtje nga temperatura e lartë. 5. Mungesa e mbrojtjes fazore. 6. Tre grupe çelsash të nivelit të ujit. 7. LCD - monitorë. |
![]() |
Modeli: tipi E Fuqia adaptive: ≤1100W
1. Mbrojtje ndaj tensionit të ulët dhe mbitensionit. 2. Mbrojtje nga mbingarkesa dhe mbitensioni. 3. Mbrojtja kundër pompave të thata. 4. Mbrojtje nga temperatura e lartë. 5. Mungesa e mbrojtjes fazore. 6. Tre grupe çelsash të nivelit të ujit. |
|
Modeli: Lloji C. Fuqia adaptive: ≤2200W
1. Mbrojtje ndaj tensionit të ulët dhe mbitensionit. 2. Mbrojtje nga mbingarkesa dhe mbitensioni. 3. Mbrojtja kundër pompave të thata. 4. Mbrojtje nga temperatura e lartë. 5. Mungesa e mbrojtjes fazore. 6. Tre grupe çelsash të nivelit të ujit. 7. LCD - monitorë. |
|
Modeli: tipi f Fuqia adaptive: ≤1100W
1. Mbrojtje ndaj tensionit të ulët dhe mbitensionit. 2. Mbrojtje nga mbingarkesa dhe mbitensioni. 3. Mbrojtja kundër pompave të thata. 4. Mbrojtje nga temperatura e lartë. 5. Mungesa e mbrojtjes fazore. |